Programme

Partie structures de données

Contenus

Capacités attendues

Commentaires

Partie algorithmique

Contenus

Capacités attendues

Commentaires

Arbres - cas général

Représentation

Arbre

Pour dessiner des arbres :

Définition / vocabulaire

Ce vocabulaire est à connaître parfaitement !!

Les arbres permettent de représenter des données avec des notions de parenté ou de hiérarchie.

Un arbre est constitué de noeuds. Chaque noeud peut avoir zéro ou un parent et zéro ou plusieurs enfants.

Si un noeud n’a pas de parent, c’est un noeud racine. Si il n’a pas d’enfants, c’est un noeud terminal.

Un arbre est vide si il ne contient aucun noeud.

Le segment reliant 2 noeuds est une arête.

La profondeur d’un noeud est le nombre de noeuds rencontrés en remontant de ce noeud jusqu’à la racine (en comptant le noeud et la racine) => profondeur de la racine = 1,…

La hauteur d’un arbre est le plus grand nombre de noeuds rencontrés en descendant de la racine jusqu’à une feuille (en comptant la feuille et la racine). On peut aussi dire que c’est la plus grande profondeur de l’arbre.

Autre définition que l’on peut rencontrer : on ne compte pas les noeuds, mais les arêtes pour profondeur et hauteur (=> profondeur de la racine = 0, mais ces définitions posent problème avec les arbres vides)

Arbres binaires

Représentation en diagramme

Arbre binaire

Définition / vocabulaire

Un arbre binaire est un arbre où chaque noeud a au maximum 2 enfants (gauche et droit). Une définition plus précise sera donnée plus tard dans le cours.

La gauche et la droite sont distinguées, l’ordre des enfants est important.

Structure de données - arbre général

Spécification

Pour représenter un arbre, on a besoin d’une structure de donnée pour chaque noeud, et que chaque noeur puisse contenir l’information :

Pour un noeud Node, on veut avoir la spécification suivante (minimale, mais suffisante pour ce qu’on veut faire) :

Implémentation

from typing import Any, List
class Node:
    def __init__(self, value: Any = None, children: List['Node']| None = None):
        self.__value = value
        if children is None:
            self.__children = []
        else:
            self.__children = children

    def add_child(self, child: 'Node') -> None:
        self.__children.append(child)

    def get_children(self) -> List['Node']:
        return self.__children

    def get_value(self) -> Any:
        return self.__value

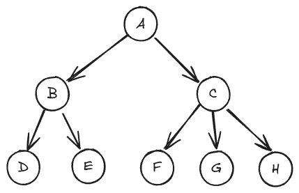
Utilisation

Utilisation de la classe Node pour créer un arbre :

Arbre exemple
# Création des noeuds (j'utilise des ; pour condenser le code)
na = Node("A")
nb = Node("B"); nc = Node("C")
nd = Node("D"); ne = Node("E")
nf = Node("F"); ng = Node("G"); nh = Node("H")
# Construction de l'arbre (idem)
na.add_child(nb); na.add_child(nc)
nb.add_child(nd); nb.add_child(ne)
nc.add_child(nf); nc.add_child(ng); nc.add_child(nh)
arbre = na # racine de l'arbre
# Création de l'arbre en une seule instruction
arbre = \
  Node("A", [
    Node("B", [
        Node("D"),
        Node("E")
    ]),
    Node("C", [
        Node("F"),
        Node("G"),
        Node("H")
    ])
])

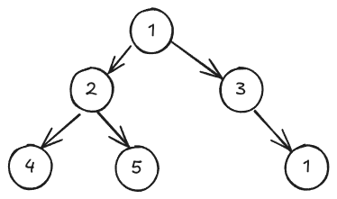
Exercice

Créer les 2 arbres suivants avec la classe Node avec les deux méthodes (création progressive et création en une seule instruction) :

Arbres exercice

Dessiner les arbres créés par le code suivant :

arbre_1 = \
  Node(1, [
    Node(2, [
        Node(4),
        Node(5, [Node(8),Node(9)])
    ]),
    Node(3, [Node(6),Node(7)])
])
n1 = Node(1); n2 = Node(2); n3 = Node(3)
n4 = Node(4); n5 = Node(5); n6 = Node(6)
n1.add_child(n2)
n1.add_child(n3); n2.add_child(n4)
n2.add_child(n5); n2.add_child(n6)
arbre_2 = n1

Structure de données - arbre binaire

Spécification

Pour un arbre binaire, on peut utiliser une structure de données un peu différente : on ne considère plus une liste d’enfants, mais deux enfants potentiels par noeud : le noeud enfant de gauche et celui de droite.

La gauche et la droite sont distinguées, et l’ordre des enfants est important.

On veut avoir la spécification suivante (minimale, mais suffisante pour ce qu’on veut faire) :

Implémentation

from typing import Any, Optional
class BinaryNode:
    def __init__(self, left: Optional['BinaryNode'] = None,
                 value: Any = None,
                 right: Optional['BinaryNode'] = None):
        self.__left = left
        self.__value = value
        self.__right = right
    def set_left(self, child: 'BinaryNode') -> None:
        self.__left = child
    def set_right(self, child: 'BinaryNode') -> None:
        self.__right = child
    def get_left(self) -> Optional['BinaryNode']:
        return self.__left
    def get_right(self) -> Optional['BinaryNode']:
        return self.__right
    def get_value(self) -> Any:
        return self.__value

Utilisation

Utilisation de la classe BinaryNode pour créer un arbre binaire :

Arbre binaire exemple
# Création des noeuds (j'utilise des ; pour condenser le code)
n1 = BinaryNode(value=1)
n2 = BinaryNode(value=2); n3 = BinaryNode(value=3)
n4 = BinaryNode(value=4); n5 = BinaryNode(value=5); n6 = BinaryNode(value=6)
# Construction de l'arbre (idem)
n1.set_left(n2); n1.set_right(n3)
n2.set_left(n4); n2.set_right(n5)
n3.set_right(n6)
arbre_binaire = n1 # racine de l'arbre
# Création de l'arbre en une seule instruction
# Si vous inclinez la tête vers la gauche à 90°, vous VERREZ la structure de
# l'arbre !
arbre_binaire = \
  BinaryNode(
    BinaryNode(
        BinaryNode(value=4),
        2,
        BinaryNode(value=5)
    ),
    1,
    BinaryNode(
        None,
        3,
        BinaryNode(value=6)
    )
)

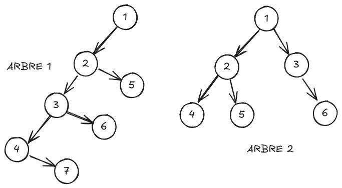
Exercice

Créer les 2 arbres binaires suivants avec la classe BinaryNode avec les deux méthodes (création progressive et création en une seule instruction) :

Arbres binaires exercice

Dessiner les arbres créés par le code suivant :

arbre_binaire_1 = \
  BinaryNode(
    BinaryNode(
        None,
        3,
        BinaryNode(value=4)
    ),
    1,
    BinaryNode(
        BinaryNode(value=6),
        2,
        BinaryNode(value=5)
    )
)
n1 = BinaryNode(1); n2 = BinaryNode(2); n3 = BinaryNode(3)
n4 = BinaryNode(4); n5 = BinaryNode(5); n6 = BinaryNode(6)
n1.set_left(n3)
n1.set_right(n2); n2.set_left(n6)
n2.set_right(n5); n3.set_right(n4)
arbre_binaire_2 = n1

Parcours d’un arbre

Principe

On peut parcourir une structure de données récursive (comme un arbre) en utilisant une fonction récursive : une fonction qui s’appelle elle-même : en effet, pour chaque noeud, les opérations à effectuer sont les mêmes. Donc on peut définir un comportement sur un noeud, puis appliquer ce comportement à chacun de ses enfants en appelant la même fonction.

Un arbre est en effet constitué :

(c’est une définition récursive, on la donnera plus précisement plus tard)

Expérimenter en POV

Se mettre à la place du programme qui fait l’exploration d’un arbre : arbex.educ.space

Vous allez explorer une maison en ouvrant des portes et en entrant dans des pièces. Dans chaque pièce, vous pouvez faire des actions :

Vous savez si vous avez déjà visité une pièce ou pas selon la couleur autour de la porte (verte = déjà visitée), mais à part ça, VOUS N’AVEZ AUCUNE MÉMOIRE NI VUE D’ENSEMBLE DE LA MAISON, vous ne pouvez utiliser que ce que vous voyez (et c’est pour ça que les paroles prononcées sont masquées par défaut, vous ne pouvez pas vous souvenir de ce que vous avez dit avant).

  1. Parcourir toute la maison, dès que vous entrez dans une pièce, parlez en annonçant le nom de la pièce (affiché sur le tableau au centre). Puis visitez les portes dans l’ordre où elles apparaissent (de gauche à droite). Vous ne pouvez ressortir de la pièce que lorsque vous avez visité toutes les pièces accessibles depuis cette pièce. Noter à la fin l’ensemble des paroles prononcées.

  2. Recommencer, mais cette fois, vous ne parlerez que juste au moment de sortir de la pièce, en annonçant le nom de la pièce. Comparez les paroles prononcées avec celles de l’exercice précédent.

Parcours d’un arbre en python

On peut définir une fonction de parcours récursive qui fait une opération avec le noeud avant de parcourir les enfants (en préfixe) :

def parcours(node: Node) -> None:
    # faire une opération avec le noeud
    print(node.get_value())
    # pour chaque enfant, appeler récursivement la fonction de parcours
    for child in node.get_children():
        parcours(child)

# appel de la fonction de parcours
parcours(arbre)

On peut aussi faire une variante où on fait l’opération après avoir parcouru les enfants (en postfixe) :

def parcours_postfixe(node: Node) -> None:
    # pour chaque enfant, appeler récursivement la fonction de parcours
    for child in node.get_children():
        parcours_postfixe(child)
    # faire une opération avec le noeud
    print(node.get_value())
# appel de la fonction de parcours
parcours_postfixe(arbre)

Comparer les deux parcours.

Algo général récursif

Algorithme récursif global :

Descente d’information

Remontée d’information

Parcours d’un arbre binaire

Principe

C’est le même principe que pour un arbre général, mais on a seulement deux enfants à gérer (gauche et droit).

Parcours d’un arbre binaire en python

def parcours_binaire(node: BinaryNode|None) -> None:
    if node is None:
        return
    # faire une opération avec le noeud
    print(node.get_value(), end=' ')
    # appeler récursivement la fonction de parcours avec le noeud gauche
    parcours_binaire(node.get_left())
    # appeler récursivement la fonction de parcours avec le noeud droit
    parcours_binaire(node.get_right())
# appel de la fonction de parcours
parcours_binaire(arbre_binaire)

Autre variante : on vérifie si il y a un enfant avant d’appeler la fonction de parcours :

def parcours_binaire(node: BinaryNode) -> None:
    # faire une opération avec le noeud
    print(node.get_value(), end=' ')
    # appeler récursivement la fonction de parcours avec le noeud gauche
    if node.get_left() is not None:
        parcours_binaire(node.get_left())
    # appeler récursivement la fonction de parcours avec le noeud droit
    if node.get_right() is not None:
        parcours_binaire(node.get_right())
# appel de la fonction de parcours
parcours_binaire(arbre_binaire)

Il existe pour les arbres binaires 3 types de parcours classiques :

def parcours_prefixe(node: BinaryNode|None) -> None:
    if node is None:
        return
    # faire une opération avec le noeud
    print(node.get_value(), end=' ')
    # appeler récursivement la fonction de parcours avec le noeud gauche
    parcours_prefixe(node.get_left())
    # appeler récursivement la fonction de parcours avec le noeud droit
    parcours_prefixe(node.get_right())
def parcours_infixe(node: BinaryNode|None) -> None:
    if node is None:
        return
    # appeler récursivement la fonction de parcours avec le noeud gauche
    parcours_infixe(node.get_left())
    # faire une opération avec le noeud
    print(node.get_value(), end=' ')
    # appeler récursivement la fonction de parcours avec le noeud droit
    parcours_infixe(node.get_right())
def parcours_postfixe(node: BinaryNode|None) -> None:
    if node is None:
        return
    # appeler récursivement la fonction de parcours avec le noeud gauche
    parcours_postfixe(node.get_left())
    # appeler récursivement la fonction de parcours avec le noeud droit
    parcours_postfixe(node.get_right())
    # faire une opération avec le noeud
    print(node.get_value(), end=' ')
# appel de la fonction de parcours
parcours_prefixe(arbre_binaire)
print()  # pour aller à la ligne
parcours_infixe(arbre_binaire)
print()  # pour aller à la ligne
parcours_postfixe(arbre_binaire)
print()  # pour aller à la ligne
Parcours arbre binaire

Algo général

Pour un noeud donné

Parcours préfixe

Parcours infixe

Parcours postfixe

Descente d’une information dans l’arbre

Remontée d’une information de l’arbre